MIT 6.5940 EfficientML.ai: Lab 1 Pruning
This colab notebook provides code and a framework for Lab 1 Pruning. You can work out your solutions here.
Please fill out this feedback form when you finished this lab. We would love to hear your thoughts or feedback on how we can improve this lab!
Goals
In this assignment, you will practice pruning a classical neural network model to reduce both model size and latency. The goals of this assignment are as follows:
- Understand the basic concept of pruning
- Implement and apply fine-grained pruning
- Implement and apply channel pruning
- Get a basic understanding of performance improvement (such as speedup) from pruning
- Understand the differences and tradeoffs between these pruning approaches
Contents
There are two main sections in this lab: Fine-grained Pruning and Channel Pruning.
There are 9 questions in total:
- For Fine-grained Pruning, there are 5 questions (Question 1-5).
- For Channel Pruning, there are 3 questions (Question 6-8).
- Question 9 compares fine-grained pruning and channel pruning.
Setup
First, install the required packages and download the datasets and pretrained model. Here we use CIFAR10 dataset and VGG network which is the same as what we used in the Lab 0 tutorial.
1
2
3
| print('Installing torchprofile...')
!pip install torchprofile 1>/dev/null
print('All required packages have been successfully installed!')
|
Installing torchprofile...
All required packages have been successfully installed!
1
2
3
4
5
6
7
8
9
10
11
12
13
14
15
16
17
18
19
20
21
22
23
24
| import copy
import math
import random
import time
from collections import OrderedDict, defaultdict
from typing import Union, List
import numpy as np
import torch
from matplotlib import pyplot as plt
from torch import nn
from torch.optim import *
from torch.optim.lr_scheduler import *
from torch.utils.data import DataLoader
from torchprofile import profile_macs
from torchvision.datasets import *
from torchvision.transforms import *
from tqdm.auto import tqdm
from torchprofile import profile_macs
assert torch.cuda.is_available(), \
"The current runtime does not have CUDA support." \
"Please go to menu bar (Runtime - Change runtime type) and select GPU"
|
1
2
3
| random.seed(0)
np.random.seed(0)
torch.manual_seed(0)
|
<torch._C.Generator at 0x7a01f05a4a10>
1
2
3
4
5
6
7
8
9
10
11
12
13
14
15
16
17
18
19
20
| def download_url(url, model_dir='.', overwrite=False):
import os, sys, ssl
from urllib.request import urlretrieve
ssl._create_default_https_context = ssl._create_unverified_context
target_dir = url.split('/')[-1]
model_dir = os.path.expanduser(model_dir)
try:
if not os.path.exists(model_dir):
os.makedirs(model_dir)
model_dir = os.path.join(model_dir, target_dir)
cached_file = model_dir
if not os.path.exists(cached_file) or overwrite:
sys.stderr.write('Downloading: "{}" to {}\n'.format(url, cached_file))
urlretrieve(url, cached_file)
return cached_file
except Exception as e:
# remove lock file so download can be executed next time.
os.remove(os.path.join(model_dir, 'download.lock'))
sys.stderr.write('Failed to download from url %s' % url + '\n' + str(e) + '\n')
return None
|
1
2
3
4
5
6
7
8
9
10
11
12
13
14
15
16
17
18
19
20
21
22
23
24
25
26
27
28
29
30
31
32
33
34
35
36
37
38
| class VGG(nn.Module):
ARCH = [64, 128, 'M', 256, 256, 'M', 512, 512, 'M', 512, 512, 'M']
def __init__(self) -> None:
super().__init__()
layers = []
counts = defaultdict(int)
def add(name: str, layer: nn.Module) -> None:
layers.append((f"{name}{counts[name]}", layer))
counts[name] += 1
in_channels = 3
for x in self.ARCH:
if x != 'M':
# conv-bn-relu
add("conv", nn.Conv2d(in_channels, x, 3, padding=1, bias=False))
add("bn", nn.BatchNorm2d(x))
add("relu", nn.ReLU(True))
in_channels = x
else:
# maxpool
add("pool", nn.MaxPool2d(2))
self.backbone = nn.Sequential(OrderedDict(layers))
self.classifier = nn.Linear(512, 10)
def forward(self, x: torch.Tensor) -> torch.Tensor:
# backbone: [N, 3, 32, 32] => [N, 512, 2, 2]
x = self.backbone(x)
# avgpool: [N, 512, 2, 2] => [N, 512]
x = x.mean([2, 3])
# classifier: [N, 512] => [N, 10]
x = self.classifier(x)
return x
|
1
2
3
4
5
6
7
8
9
10
11
12
13
14
15
16
17
18
19
20
21
22
23
24
25
26
27
28
29
30
31
32
| def train(
model: nn.Module,
dataloader: DataLoader,
criterion: nn.Module,
optimizer: Optimizer,
scheduler: LambdaLR,
callbacks = None
) -> None:
model.train()
for inputs, targets in tqdm(dataloader, desc='train', leave=False):
# Move the data from CPU to GPU
inputs = inputs.cuda()
targets = targets.cuda()
# Reset the gradients (from the last iteration)
optimizer.zero_grad()
# Forward inference
outputs = model(inputs)
loss = criterion(outputs, targets)
# Backward propagation
loss.backward()
# Update optimizer and LR scheduler
optimizer.step()
scheduler.step()
if callbacks is not None:
for callback in callbacks:
callback()
|
1
2
3
4
5
6
7
8
9
10
11
12
13
14
15
16
17
18
19
20
21
22
23
24
25
26
27
28
| @torch.inference_mode()
def evaluate(
model: nn.Module,
dataloader: DataLoader,
verbose=True,
) -> float:
model.eval()
num_samples = 0
num_correct = 0
for inputs, targets in tqdm(dataloader, desc="eval", leave=False,
disable=not verbose):
# Move the data from CPU to GPU
inputs = inputs.cuda()
targets = targets.cuda()
# Inference
outputs = model(inputs)
# Convert logits to class indices
outputs = outputs.argmax(dim=1)
# Update metrics
num_samples += targets.size(0)
num_correct += (outputs == targets).sum()
return (num_correct / num_samples * 100).item()
|
Helper Functions (Flops, Model Size calculation, etc.)
1
2
3
4
5
6
7
8
9
10
11
12
13
14
15
16
17
18
19
20
21
22
23
24
25
26
27
28
29
30
31
32
33
34
35
36
37
38
39
40
41
42
43
44
45
46
47
48
49
| def get_model_macs(model, inputs) -> int:
return profile_macs(model, inputs)
def get_sparsity(tensor: torch.Tensor) -> float:
"""
calculate the sparsity of the given tensor
sparsity = #zeros / #elements = 1 - #nonzeros / #elements
"""
return 1 - float(tensor.count_nonzero()) / tensor.numel()
def get_model_sparsity(model: nn.Module) -> float:
"""
calculate the sparsity of the given model
sparsity = #zeros / #elements = 1 - #nonzeros / #elements
"""
num_nonzeros, num_elements = 0, 0
for param in model.parameters():
num_nonzeros += param.count_nonzero()
num_elements += param.numel()
return 1 - float(num_nonzeros) / num_elements
def get_num_parameters(model: nn.Module, count_nonzero_only=False) -> int:
"""
calculate the total number of parameters of model
:param count_nonzero_only: only count nonzero weights
"""
num_counted_elements = 0
for param in model.parameters():
if count_nonzero_only:
num_counted_elements += param.count_nonzero()
else:
num_counted_elements += param.numel()
return num_counted_elements
def get_model_size(model: nn.Module, data_width=32, count_nonzero_only=False) -> int:
"""
calculate the model size in bits
:param data_width: #bits per element
:param count_nonzero_only: only count nonzero weights
"""
return get_num_parameters(model, count_nonzero_only) * data_width
Byte = 8
KiB = 1024 * Byte
MiB = 1024 * KiB
GiB = 1024 * MiB
|
Define misc functions for verification.
1
2
3
4
5
6
7
8
9
10
11
12
13
14
15
16
17
18
19
20
21
22
23
24
25
26
27
28
29
30
31
32
33
34
35
36
37
38
39
40
41
42
43
44
45
46
47
48
49
50
51
52
| def test_fine_grained_prune(
test_tensor=torch.tensor([[-0.46, -0.40, 0.39, 0.19, 0.37],
[0.00, 0.40, 0.17, -0.15, 0.16],
[-0.20, -0.23, 0.36, 0.25, 0.03],
[0.24, 0.41, 0.07, 0.13, -0.15],
[0.48, -0.09, -0.36, 0.12, 0.45]]),
test_mask=torch.tensor([[True, True, False, False, False],
[False, True, False, False, False],
[False, False, False, False, False],
[False, True, False, False, False],
[True, False, False, False, True]]),
target_sparsity=0.75, target_nonzeros=None):
def plot_matrix(tensor, ax, title):
ax.imshow(tensor.cpu().numpy() == 0, vmin=0, vmax=1, cmap='tab20c')
ax.set_title(title)
ax.set_yticklabels([])
ax.set_xticklabels([])
for i in range(tensor.shape[1]):
for j in range(tensor.shape[0]):
text = ax.text(j, i, f'{tensor[i, j].item():.2f}',
ha="center", va="center", color="k")
test_tensor = test_tensor.clone()
fig, axes = plt.subplots(1,2, figsize=(6, 10))
ax_left, ax_right = axes.ravel()
plot_matrix(test_tensor, ax_left, 'dense tensor')
sparsity_before_pruning = get_sparsity(test_tensor)
mask = fine_grained_prune(test_tensor, target_sparsity)
sparsity_after_pruning = get_sparsity(test_tensor)
sparsity_of_mask = get_sparsity(mask)
plot_matrix(test_tensor, ax_right, 'sparse tensor')
fig.tight_layout()
plt.show()
print('* Test fine_grained_prune()')
print(f' target sparsity: {target_sparsity:.2f}')
print(f' sparsity before pruning: {sparsity_before_pruning:.2f}')
print(f' sparsity after pruning: {sparsity_after_pruning:.2f}')
print(f' sparsity of pruning mask: {sparsity_of_mask:.2f}')
if target_nonzeros is None:
if test_mask.equal(mask):
print('* Test passed.')
else:
print('* Test failed.')
else:
if mask.count_nonzero() == target_nonzeros:
print('* Test passed.')
else:
print('* Test failed.')
|
Load the pretrained model and the CIFAR-10 dataset.
1
2
3
4
5
6
| checkpoint_url = "https://hanlab18.mit.edu/files/course/labs/vgg.cifar.pretrained.pth"
checkpoint = torch.load(download_url(checkpoint_url), map_location="cpu")
model = VGG().cuda()
print(f"=> loading checkpoint '{checkpoint_url}'")
model.load_state_dict(checkpoint['state_dict'])
recover_model = lambda: model.load_state_dict(checkpoint['state_dict'])
|
Downloading: "https://hanlab18.mit.edu/files/course/labs/vgg.cifar.pretrained.pth" to ./vgg.cifar.pretrained.pth
=> loading checkpoint 'https://hanlab18.mit.edu/files/course/labs/vgg.cifar.pretrained.pth'
1
2
3
4
5
6
7
8
9
10
11
12
13
14
15
16
17
18
19
20
21
22
23
24
25
26
| image_size = 32
transforms = {
"train": Compose([
RandomCrop(image_size, padding=4),
RandomHorizontalFlip(),
ToTensor(),
]),
"test": ToTensor(),
}
dataset = {}
for split in ["train", "test"]:
dataset[split] = CIFAR10(
root="data/cifar10",
train=(split == "train"),
download=True,
transform=transforms[split],
)
dataloader = {}
for split in ['train', 'test']:
dataloader[split] = DataLoader(
dataset[split],
batch_size=512,
shuffle=(split == 'train'),
num_workers=0,
pin_memory=True,
)
|
100%|██████████| 170M/170M [00:04<00:00, 35.0MB/s]
Let’s First Evaluate the Accuracy and Model Size of Dense Model
Neural networks have become ubiquitous in many applications. Here we have loaded a pretrained VGG model for classifying images in CIFAR10 dataset.
Let’s first evaluate the accuracy and model size of this model.
1
2
3
4
| dense_model_accuracy = evaluate(model, dataloader['test'])
dense_model_size = get_model_size(model)
print(f"dense model has accuracy={dense_model_accuracy:.2f}%")
print(f"dense model has size={dense_model_size/MiB:.2f} MiB")
|
eval: 0%| | 0/20 [00:00<?, ?it/s]
dense model has accuracy=92.95%
dense model has size=35.20 MiB
While large neural networks are very powerful, their size consumes considerable storage, memory bandwidth, and computational resources.
As we can see from the results above, a model for the task as simple as classifying $32\times32$ images into 10 classes can be as large as 35 MiB.
For embedded mobile applications, these resource demands become prohibitive.
Therefore, neural network pruning is exploited to facilitates storage and transmission of mobile applications incorporating DNNs.
The goal of pruning is to reduce the model size while maintaining the accuracy.
Let’s see the distribution of weight values
Before we jump into pruning, let’s see the distribution of weight values in the dense model.
1
2
3
4
5
6
7
8
9
10
11
12
13
14
15
16
17
18
19
20
21
22
23
24
| def plot_weight_distribution(model, bins=256, count_nonzero_only=False):
fig, axes = plt.subplots(3,3, figsize=(10, 6))
axes = axes.ravel()
plot_index = 0
for name, param in model.named_parameters():
if param.dim() > 1:
ax = axes[plot_index]
if count_nonzero_only:
param_cpu = param.detach().view(-1).cpu()
param_cpu = param_cpu[param_cpu != 0].view(-1)
ax.hist(param_cpu, bins=bins, density=True,
color = 'blue', alpha = 0.5)
else:
ax.hist(param.detach().view(-1).cpu(), bins=bins, density=True,
color = 'blue', alpha = 0.5)
ax.set_xlabel(name)
ax.set_ylabel('density')
plot_index += 1
fig.suptitle('Histogram of Weights')
fig.tight_layout()
fig.subplots_adjust(top=0.925)
plt.show()
plot_weight_distribution(model)
|

Question 1 (10 pts)
Please answer the following questions using the information in the above histograms of weights.
Question 1.1 (5 pts)
What are the common characteristics of the weight distribution in the different layers?
My Answer:
The weight distributions of different layers are usually centered around 0, roughly symmetric, and have a sharp peak with long tails: many weights are concentrated near 0, while only a small number have large magnitudes.
Question 1.2 (5 pts)
How do these characteristics help pruning?
My Answer: Since most parameters have small absolute values (close to 0), pruning these small-magnitude parameters usually has limited impact on outputs, so we can significantly increase sparsity and compression with only minor accuracy loss.
Fine-grained Pruning
In this section, we will implement and perform fine-grained pruning.
Fine-grained pruning removes the synapses with lowest importance. The weight tensor $W$ will become sparse after fine-grained pruning, which can be described with sparsity:
$\mathrm{sparsity} := \#\mathrm{Zeros} / \#W = 1 - \#\mathrm{Nonzeros} / \#W$
where $\#W$ is the number of elements in $W$.
In practice, given the target sparsity $s$, the weight tensor $W$ is multiplied with a binary mask $M$ to disregard removed weight:
$v_{\mathrm{thr}} = \texttt{kthvalue}(Importance, \#W \cdot s)$
$M = Importance > v_{\mathrm{thr}}$
$W = W \cdot M$
where $Importance$ is importance tensor with the same shape of $W$, $\texttt{kthvalue}(X, k)$ finds the $k$-th smallest value of tensor $X$, $v_{\mathrm{thr}}$ is the threshold value.
Magnitude-based Pruning
For fine-grained pruning, a widely-used importance is the magnitude of weight value, i.e.,
$Importance=|W|$
This is known as Magnitude-based Pruning (see Learning both Weights and Connections for Efficient
Neural Networks).

Question 2 (15 pts)
Please complete the following magnitude-based fine-grained pruning function.
Hint:
- In step 1, we calculate the number of zeros (
num_zeros) after pruning. Note that num_zeros should be an integer. You could use either round() or int() to convert a floating number into an integer. Here we use round(). - In step 2, we calculate the
importance of weight tensor. Pytorch provides torch.abs(), torch.Tensor.abs(), torch.Tensor.abs_() APIs. - In step 3, we calculate the pruning
threshold so that all synapses with importance smaller than threshold will be removed. Pytorch provides torch.kthvalue(), torch.Tensor.kthvalue(), torch.topk() APIs. - In step 4, we calculate the pruning
mask based on the threshold. 1 in the mask indicates the synapse will be kept, and 0 in the mask indicates the synapse will be removed. mask = importance > threshold. Pytorch provides torch.gt() API.
1
2
3
4
5
6
7
8
9
10
11
12
13
14
15
16
17
18
19
20
21
22
23
24
25
26
27
28
29
30
31
32
33
| def fine_grained_prune(tensor: torch.Tensor, sparsity : float) -> torch.Tensor:
"""
magnitude-based pruning for single tensor
:param tensor: torch.(cuda.)Tensor, weight of conv/fc layer
:param sparsity: float, pruning sparsity
sparsity = #zeros / #elements = 1 - #nonzeros / #elements
:return:
torch.(cuda.)Tensor, mask for zeros
"""
sparsity = min(max(0.0, sparsity), 1.0)
if sparsity == 1.0:
tensor.zero_()
return torch.zeros_like(tensor)
elif sparsity == 0.0:
return torch.ones_like(tensor)
num_elements = tensor.numel()
##################### MY CODE STARTS HERE #####################
# Step 1: calculate the #zeros (please use round())
num_zeros = round(num_elements * sparsity)
# Step 2: calculate the importance of weight
importance = tensor.abs()
# Step 3: calculate the pruning threshold
threshold = torch.kthvalue(importance.view(-1), num_zeros).values
# Step 4: get binary mask (1 for nonzeros, 0 for zeros)
mask = importance > threshold
##################### MY CODE ENDS HERE #######################
# Step 5: apply mask to prune the tensor
tensor.mul_(mask)
return mask
|
Let’s verify the functionality of defined fine-grained pruning by applying the function above on a dummy tensor.
1
| test_fine_grained_prune()
|

* Test fine_grained_prune()
target sparsity: 0.75
sparsity before pruning: 0.04
sparsity after pruning: 0.76
sparsity of pruning mask: 0.76
* Test passed.
Question 3 (5 pts)
The last cell plots the tensor before and after pruning. Nonzeros are rendered in blue while zeros are rendered in gray. Please modify the value of target_sparsity in the following code cell so that there are only 10 nonzeros in the sparse tensor after pruning.
1
2
3
4
| ##################### MY CODE STARTS HERE #####################
target_sparsity = 0.6 # 25 * (1 - 0.6) = 10 nonzeros
##################### MY CODE ENDS HERE #####################
test_fine_grained_prune(target_sparsity=target_sparsity, target_nonzeros=10)
|

* Test fine_grained_prune()
target sparsity: 0.60
sparsity before pruning: 0.04
sparsity after pruning: 0.60
sparsity of pruning mask: 0.60
* Test passed.
We now wrap the fine-grained pruning function into a class for pruning the whole model. In class FineGrainedPruner, we have to keep a record of the pruning masks so that we could apply the masks whenever the model weights change to make sure the model keep sparse all the time.
1
2
3
4
5
6
7
8
9
10
11
12
13
14
15
16
17
18
| class FineGrainedPruner:
def __init__(self, model, sparsity_dict):
self.masks = FineGrainedPruner.prune(model, sparsity_dict)
@torch.no_grad()
def apply(self, model):
for name, param in model.named_parameters():
if name in self.masks:
param *= self.masks[name]
@staticmethod
@torch.no_grad()
def prune(model, sparsity_dict):
masks = dict()
for name, param in model.named_parameters():
if param.dim() > 1: # we only prune conv and fc weights
masks[name] = fine_grained_prune(param, sparsity_dict[name])
return masks
|
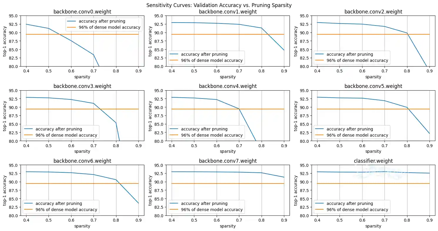
Sensitivity Scan
Different layers contribute differently to the model performance. It is challenging to decide the proper sparsity for each layer. A widely used approach is sensitivity scan.
During the sensitivity scan, at each time, we will only prune one layer to see the accuracy degradation. By scanning different sparsities, we could draw the sensitivity curve (i.e., accuracy vs. sparsity) of the corresponding layer.
Here is an example figure for sensitivity curves. The x-axis is the sparsity or the percentage of #parameters dropped (i.e., sparsity). The y-axis is the validation accuracy. (This is Figure 6 in Learning both Weights and Connections for Efficient
Neural Networks)

The following code cell defines the sensitivity scan function that returns the sparsities scanned, and a list of accuracies for each weight to be pruned.
1
2
3
4
5
6
7
8
9
10
11
12
13
14
15
16
17
18
19
20
21
| @torch.no_grad()
def sensitivity_scan(model, dataloader, scan_step=0.1, scan_start=0.4, scan_end=1.0, verbose=True):
sparsities = np.arange(start=scan_start, stop=scan_end, step=scan_step)
accuracies = []
named_conv_weights = [(name, param) for (name, param) \
in model.named_parameters() if param.dim() > 1]
for i_layer, (name, param) in enumerate(named_conv_weights):
param_clone = param.detach().clone()
accuracy = []
for sparsity in tqdm(sparsities, desc=f'scanning {i_layer}/{len(named_conv_weights)} weight - {name}'):
fine_grained_prune(param.detach(), sparsity=sparsity)
acc = evaluate(model, dataloader, verbose=False)
if verbose:
print(f'\r sparsity={sparsity:.2f}: accuracy={acc:.2f}%', end='')
# restore
param.copy_(param_clone)
accuracy.append(acc)
if verbose:
print(f'\r sparsity=[{",".join(["{:.2f}".format(x) for x in sparsities])}]: accuracy=[{", ".join(["{:.2f}%".format(x) for x in accuracy])}]', end='')
accuracies.append(accuracy)
return sparsities, accuracies
|
Please run the following cells to plot the sensitivity curves. It should take around 2 minutes to finish.
1
2
| sparsities, accuracies = sensitivity_scan(
model, dataloader['test'], scan_step=0.1, scan_start=0.4, scan_end=1.0)
|
scanning 0/9 weight - backbone.conv0.weight: 0%| | 0/6 [00:00<?, ?it/s]
sparsity=[0.40,0.50,0.60,0.70,0.80,0.90]: accuracy=[92.42%, 91.19%, 87.55%, 83.39%, 69.41%, 31.81%]
scanning 1/9 weight - backbone.conv1.weight: 0%| | 0/6 [00:00<?, ?it/s]
sparsity=[0.40,0.50,0.60,0.70,0.80,0.90]: accuracy=[92.93%, 92.88%, 92.71%, 92.40%, 91.32%, 84.78%]
scanning 2/9 weight - backbone.conv2.weight: 0%| | 0/6 [00:00<?, ?it/s]
sparsity=[0.40,0.50,0.60,0.70,0.80,0.90]: accuracy=[92.94%, 92.64%, 92.46%, 91.77%, 89.85%, 78.56%]
scanning 3/9 weight - backbone.conv3.weight: 0%| | 0/6 [00:00<?, ?it/s]
sparsity=[0.40,0.50,0.60,0.70,0.80,0.90]: accuracy=[92.86%, 92.72%, 92.23%, 91.09%, 85.35%, 51.31%]
scanning 4/9 weight - backbone.conv4.weight: 0%| | 0/6 [00:00<?, ?it/s]
sparsity=[0.40,0.50,0.60,0.70,0.80,0.90]: accuracy=[92.88%, 92.68%, 92.22%, 89.47%, 76.86%, 38.78%]
scanning 5/9 weight - backbone.conv5.weight: 0%| | 0/6 [00:00<?, ?it/s]
sparsity=[0.40,0.50,0.60,0.70,0.80,0.90]: accuracy=[92.92%, 92.71%, 92.63%, 91.88%, 89.90%, 82.19%]
scanning 6/9 weight - backbone.conv6.weight: 0%| | 0/6 [00:00<?, ?it/s]
sparsity=[0.40,0.50,0.60,0.70,0.80,0.90]: accuracy=[92.94%, 92.86%, 92.65%, 92.10%, 90.58%, 83.65%]
scanning 7/9 weight - backbone.conv7.weight: 0%| | 0/6 [00:00<?, ?it/s]
sparsity=[0.40,0.50,0.60,0.70,0.80,0.90]: accuracy=[92.94%, 92.92%, 92.88%, 92.81%, 92.63%, 91.34%]
scanning 8/9 weight - classifier.weight: 0%| | 0/6 [00:00<?, ?it/s]
sparsity=[0.40,0.50,0.60,0.70,0.80,0.90]: accuracy=[92.91%, 92.83%, 92.81%, 92.97%, 92.68%, 92.52%]
1
2
3
4
5
6
7
8
9
10
11
12
13
14
15
16
17
18
19
20
21
22
23
24
25
26
27
| def plot_sensitivity_scan(sparsities, accuracies, dense_model_accuracy):
lower_bound_accuracy = 100 - (100 - dense_model_accuracy) * 1.5
fig, axes = plt.subplots(3, int(math.ceil(len(accuracies) / 3)),figsize=(15,8))
axes = axes.ravel()
plot_index = 0
for name, param in model.named_parameters():
if param.dim() > 1:
ax = axes[plot_index]
curve = ax.plot(sparsities, accuracies[plot_index])
line = ax.plot(sparsities, [lower_bound_accuracy] * len(sparsities))
ax.set_xticks(np.arange(start=0.4, stop=1.0, step=0.1))
ax.set_ylim(80, 95)
ax.set_title(name)
ax.set_xlabel('sparsity')
ax.set_ylabel('top-1 accuracy')
ax.legend([
'accuracy after pruning',
f'{lower_bound_accuracy / dense_model_accuracy * 100:.0f}% of dense model accuracy'
])
ax.grid(axis='x')
plot_index += 1
fig.suptitle('Sensitivity Curves: Validation Accuracy vs. Pruning Sparsity')
fig.tight_layout()
fig.subplots_adjust(top=0.925)
plt.show()
plot_sensitivity_scan(sparsities, accuracies, dense_model_accuracy)
|

Question 4 (15 pts)
Please answer the following questions using the information in the above sensitivity curves.
Question 4.1 (5 pts)
What’s the relationship between pruning sparsity and model accuracy? (i.e., does accuracy increase or decrease when sparsity becomes higher?)
My Answer: In general, higher pruning sparsity leads to lower accuracy; in the low-to-medium sparsity range, the drop is gradual, but after a certain turning point, accuracy degrades much faster.
Question 4.2 (5 pts)
Do all the layers have the same sensitivity?
My Answer: No. Different layers have very different sensitivity to sparsity; layers closer to the output or more critical layers are usually more sensitive.
Question 4.3 (5 pts)
Which layer is the most sensitive to the pruning sparsity?
My Answer: The most sensitive layers are typically high-semantic layers near the back end (for example, backbone.conv6/backbone.conv7 or the classifier), because they directly affect the final decision boundary.
#Parameters of each layer
In addition to accuracy, the number of each layer’s parameters also affects the decision on sparsity selection. Layers with more #parameters require larger sparsities.
Please run the following code cell to plot the distribution of #parameters in the whole model.
1
2
3
4
5
6
7
8
9
10
11
12
13
14
15
| def plot_num_parameters_distribution(model):
num_parameters = dict()
for name, param in model.named_parameters():
if param.dim() > 1:
num_parameters[name] = param.numel()
fig = plt.figure(figsize=(8, 6))
plt.grid(axis='y')
plt.bar(list(num_parameters.keys()), list(num_parameters.values()))
plt.title('#Parameter Distribution')
plt.ylabel('Number of Parameters')
plt.xticks(rotation=60)
plt.tight_layout()
plt.show()
plot_num_parameters_distribution(model)
|

Select Sparsity Based on Sensitivity Curves and #Parameters Distribution
Question 5 (10 pts)
Based on the sensitivity curves and the distribution of #parameters in the model, please select the sparsity for each layer.
Note that the overall compression ratio of pruned model mostly depends on the layers with larger #parameters, and different layers have different sensitivity to pruning (see Question 4).
Please make sure that after pruning, the sparse model is 25% of the size of the dense model, and validation accuracy is higher than 92.5 after finetuning.
Hint:
- The layer with more #parameters should have larger sparsity. (see Figure #Parameter Distribution)
- The layer that is sensitive to the pruning sparsity (i.e., the accuracy will drop quickly as sparsity becomes higher) should have smaller sparsity. (see Figure Sensitivity Curves)
1
2
3
4
5
6
7
8
9
10
11
12
13
14
15
16
17
| recover_model()
sparsity_dict = {
##################### MY CODE STARTS HERE #####################
# please modify the sparsity value of each layer
# please DO NOT modify the key of sparsity_dict
'backbone.conv0.weight': 0.20,
'backbone.conv1.weight': 0.30,
'backbone.conv2.weight': 0.50,
'backbone.conv3.weight': 0.60,
'backbone.conv4.weight': 0.70,
'backbone.conv5.weight': 0.75,
'backbone.conv6.weight': 0.80,
'backbone.conv7.weight': 0.80,
'classifier.weight': 0.50
##################### MY CODE ENDS HERE #######################
}
|
Please run the following cell to prune the model according to your defined sparsity_dict, and print the information of sparse model.
1
2
3
4
5
6
7
8
9
10
11
12
13
14
15
| pruner = FineGrainedPruner(model, sparsity_dict)
print(f'After pruning with sparsity dictionary')
for name, sparsity in sparsity_dict.items():
print(f' {name}: {sparsity:.2f}')
print(f'The sparsity of each layer becomes')
for name, param in model.named_parameters():
if name in sparsity_dict:
print(f' {name}: {get_sparsity(param):.2f}')
sparse_model_size = get_model_size(model, count_nonzero_only=True)
print(f"Sparse model has size={sparse_model_size / MiB:.2f} MiB = {sparse_model_size / dense_model_size * 100:.2f}% of dense model size")
sparse_model_accuracy = evaluate(model, dataloader['test'])
print(f"Sparse model has accuracy={sparse_model_accuracy:.2f}% before fintuning")
plot_weight_distribution(model, count_nonzero_only=True)
|
After pruning with sparsity dictionary
backbone.conv0.weight: 0.20
backbone.conv1.weight: 0.30
backbone.conv2.weight: 0.50
backbone.conv3.weight: 0.60
backbone.conv4.weight: 0.70
backbone.conv5.weight: 0.75
backbone.conv6.weight: 0.80
backbone.conv7.weight: 0.80
classifier.weight: 0.50
The sparsity of each layer becomes
backbone.conv0.weight: 0.20
backbone.conv1.weight: 0.30
backbone.conv2.weight: 0.50
backbone.conv3.weight: 0.60
backbone.conv4.weight: 0.70
backbone.conv5.weight: 0.75
backbone.conv6.weight: 0.80
backbone.conv7.weight: 0.80
classifier.weight: 0.50
Sparse model has size=8.90 MiB = 25.27% of dense model size
eval: 0%| | 0/20 [00:00<?, ?it/s]
Sparse model has accuracy=88.90% before fintuning

Finetune the fine-grained pruned model
As we can see from the outputs of previous cell, even though fine-grained pruning reduces the most of model weights, the accuracy of model also dropped. Therefore, we have to finetune the sparse model to recover the accuracy.
Please run the following cell to finetune the sparse model. It should take around 3 minutes to finish.
1
2
3
4
5
6
7
8
9
10
11
12
13
14
15
16
17
18
19
| num_finetune_epochs = 5
optimizer = torch.optim.SGD(model.parameters(), lr=0.01, momentum=0.9, weight_decay=1e-4)
scheduler = torch.optim.lr_scheduler.CosineAnnealingLR(optimizer, num_finetune_epochs)
criterion = nn.CrossEntropyLoss()
best_sparse_model_checkpoint = dict()
best_accuracy = 0
print(f'Finetuning Fine-grained Pruned Sparse Model')
for epoch in range(num_finetune_epochs):
# At the end of each train iteration, we have to apply the pruning mask
# to keep the model sparse during the training
train(model, dataloader['train'], criterion, optimizer, scheduler,
callbacks=[lambda: pruner.apply(model)])
accuracy = evaluate(model, dataloader['test'])
is_best = accuracy > best_accuracy
if is_best:
best_sparse_model_checkpoint['state_dict'] = copy.deepcopy(model.state_dict())
best_accuracy = accuracy
print(f' Epoch {epoch+1} Accuracy {accuracy:.2f}% / Best Accuracy: {best_accuracy:.2f}%')
|
Finetuning Fine-grained Pruned Sparse Model
train: 0%| | 0/98 [00:00<?, ?it/s]
eval: 0%| | 0/20 [00:00<?, ?it/s]
Epoch 1 Accuracy 92.75% / Best Accuracy: 92.75%
train: 0%| | 0/98 [00:00<?, ?it/s]
eval: 0%| | 0/20 [00:00<?, ?it/s]
Epoch 2 Accuracy 92.86% / Best Accuracy: 92.86%
train: 0%| | 0/98 [00:00<?, ?it/s]
eval: 0%| | 0/20 [00:00<?, ?it/s]
Epoch 3 Accuracy 92.78% / Best Accuracy: 92.86%
train: 0%| | 0/98 [00:00<?, ?it/s]
eval: 0%| | 0/20 [00:00<?, ?it/s]
Epoch 4 Accuracy 92.83% / Best Accuracy: 92.86%
train: 0%| | 0/98 [00:00<?, ?it/s]
eval: 0%| | 0/20 [00:00<?, ?it/s]
Epoch 5 Accuracy 92.84% / Best Accuracy: 92.86%
Run the following cell to see the information of best finetuned sparse model.
1
2
3
4
5
6
| # load the best sparse model checkpoint to evaluate the final performance
model.load_state_dict(best_sparse_model_checkpoint['state_dict'])
sparse_model_size = get_model_size(model, count_nonzero_only=True)
print(f"Sparse model has size={sparse_model_size / MiB:.2f} MiB = {sparse_model_size / dense_model_size * 100:.2f}% of dense model size")
sparse_model_accuracy = evaluate(model, dataloader['test'])
print(f"Sparse model has accuracy={sparse_model_accuracy:.2f}% after fintuning")
|
Sparse model has size=8.90 MiB = 25.27% of dense model size
eval: 0%| | 0/20 [00:00<?, ?it/s]
Sparse model has accuracy=92.86% after fintuning
Channel Pruning
In this section, we will implement the channel pruning. Channel pruning removes an entire channel, so that it can achieve inference speed up on existing hardware like GPUs. Similarly, we remove the channels whose weights are of smaller magnitudes (measured by Frobenius norm).
1
2
3
4
5
| # firstly, let's restore the model weights to the original dense version
# and check the validation accuracy
recover_model()
dense_model_accuracy = evaluate(model, dataloader['test'])
print(f"dense model has accuracy={dense_model_accuracy:.2f}%")
|
eval: 0%| | 0/20 [00:00<?, ?it/s]
dense model has accuracy=92.95%
Remove Channel Weights
Unlike fine-grained pruning, we can remove the weights entirely from the tensor in channel pruning. That is to say, the number of output channels is reduced:
$\#\mathrm{out\_channels}_{\mathrm{new}} = \#\mathrm{out\_channels}_{\mathrm{origin}} \cdot (1 - \mathrm{sparsity})$
The weight tensor $W$ is still dense after channel pruning. Thus, we will refer to sparsity as prune ratio.
Like fine-grained pruning, we can use different pruning rates for different layers. However, we use a uniform pruning rate for all the layers for now. We are targeting 2x computation reduction, which is roughly 30% uniform pruning rate (think about why).
Feel free to try out different pruning ratios per layer at the end of this section. You can pass in a list of ratios to the channel_prune function.
Question 6 (10 pts)
Please complete the following functions for channel pruning.
Here we naively prune all output channels other than the first $\#\mathrm{out\_channels}_{\mathrm{new}}$ channels.
1
2
3
4
5
6
7
8
9
10
11
12
13
14
15
16
17
18
19
20
21
22
23
24
25
26
27
28
29
30
31
32
33
34
35
36
37
38
39
40
41
42
43
44
45
46
47
48
49
50
51
52
53
| def get_num_channels_to_keep(channels: int, prune_ratio: float) -> int:
"""A function to calculate the number of layers to PRESERVE after pruning
Note that preserve_rate = 1. - prune_ratio
"""
##################### MY CODE STARTS HERE #####################
return int(round(channels * (1.0 - prune_ratio)))
##################### MY CODE ENDS HERE #####################
@torch.no_grad()
def channel_prune(model: nn.Module,
prune_ratio: Union[List, float]) -> nn.Module:
"""Apply channel pruning to each of the conv layer in the backbone
Note that for prune_ratio, we can either provide a floating-point number,
indicating that we use a uniform pruning rate for all layers, or a list of
numbers to indicate per-layer pruning rate.
"""
# sanity check of provided prune_ratio
assert isinstance(prune_ratio, (float, list))
n_conv = len([m for m in model.backbone if isinstance(m, nn.Conv2d)])
# note that for the ratios, it affects the previous conv output and next
# conv input, i.e., conv0 - ratio0 - conv1 - ratio1-...
if isinstance(prune_ratio, list):
assert len(prune_ratio) == n_conv - 1
else: # convert float to list
prune_ratio = [prune_ratio] * (n_conv - 1)
# we prune the convs in the backbone with a uniform ratio
model = copy.deepcopy(model) # prevent overwrite
# we only apply pruning to the backbone features
all_convs = [m for m in model.backbone if isinstance(m, nn.Conv2d)]
all_bns = [m for m in model.backbone if isinstance(m, nn.BatchNorm2d)]
# apply pruning. we naively keep the first k channels
assert len(all_convs) == len(all_bns)
for i_ratio, p_ratio in enumerate(prune_ratio):
prev_conv = all_convs[i_ratio]
prev_bn = all_bns[i_ratio]
next_conv = all_convs[i_ratio + 1]
original_channels = prev_conv.out_channels # same as next_conv.in_channels
n_keep = get_num_channels_to_keep(original_channels, p_ratio)
# prune the output of the previous conv and bn
prev_conv.weight.set_(prev_conv.weight.detach()[:n_keep])
prev_bn.weight.set_(prev_bn.weight.detach()[:n_keep])
prev_bn.bias.set_(prev_bn.bias.detach()[:n_keep])
prev_bn.running_mean.set_(prev_bn.running_mean.detach()[:n_keep])
prev_bn.running_var.set_(prev_bn.running_var.detach()[:n_keep])
# prune the input of the next conv (hint: just one line of code)
##################### YOUR CODE STARTS HERE #####################
next_conv.weight.set_(next_conv.weight.detach()[:, :n_keep])
##################### YOUR CODE ENDS HERE #####################
return model
|
Run the following cell to perform a sanity check to make sure the implementation is correct.
1
2
3
4
5
| dummy_input = torch.randn(1, 3, 32, 32).cuda()
pruned_model = channel_prune(model, prune_ratio=0.3)
pruned_macs = get_model_macs(pruned_model, dummy_input)
assert pruned_macs == 305388064
print('* Check passed. Right MACs for the pruned model.')
|
* Check passed. Right MACs for the pruned model.
Now let’s evaluate the performance of the model after uniform channel pruning with 30% pruning rate.
As you may see, directly removing 30% of the channels leads to low accuracy.
1
2
| pruned_model_accuracy = evaluate(pruned_model, dataloader['test'])
print(f"pruned model has accuracy={pruned_model_accuracy:.2f}%")
|
eval: 0%| | 0/20 [00:00<?, ?it/s]
pruned model has accuracy=28.14%
Ranking Channels by Importance
As you can see, removing the first 30% of channels in all layers leads to significant accuracy reduction. One potential method to remedy the issue is to find the less important channel weights to remove. A popular criterion for importance is to use the Frobenius norm of the weights corresponding to each input channel:
$importance_{i} = \|W_{i}\|_2, \;\; i = 0, 1, 2,\cdots, \#\mathrm{in\_channels}-1$
We can sort the channel weights from more important to less important, and then keep the frst $k$ channels for each layer.
Question 7 (15 pts)
Please complete the following functions for sorting the weight tensor based on the Frobenius norm.
Hint:
- To calculate Frobenius norm of a tensor, Pytorch provides
torch.norm APIs.
1
2
3
4
5
6
7
8
9
10
11
12
13
14
15
16
17
18
19
20
21
22
23
24
25
26
27
28
29
30
31
32
33
34
35
36
37
38
39
40
41
42
43
44
45
46
47
48
| # function to sort the channels from important to non-important
def get_input_channel_importance(weight):
in_channels = weight.shape[1]
importances = []
# compute the importance for each input channel
for i_c in range(weight.shape[1]):
channel_weight = weight.detach()[:, i_c]
##################### MY CODE STARTS HERE #####################
importance = torch.norm(channel_weight, p=2)
##################### MY CODE ENDS HERE #####################
importances.append(importance.view(1))
return torch.cat(importances)
@torch.no_grad()
def apply_channel_sorting(model):
model = copy.deepcopy(model) # do not modify the original model
# fetch all the conv and bn layers from the backbone
all_convs = [m for m in model.backbone if isinstance(m, nn.Conv2d)]
all_bns = [m for m in model.backbone if isinstance(m, nn.BatchNorm2d)]
# iterate through conv layers
for i_conv in range(len(all_convs) - 1):
# each channel sorting index, we need to apply it to:
# - the output dimension of the previous conv
# - the previous BN layer
# - the input dimension of the next conv (we compute importance here)
prev_conv = all_convs[i_conv]
prev_bn = all_bns[i_conv]
next_conv = all_convs[i_conv + 1]
# note that we always compute the importance according to input channels
importance = get_input_channel_importance(next_conv.weight)
# sorting from large to small
sort_idx = torch.argsort(importance, descending=True)
# apply to previous conv and its following bn
prev_conv.weight.copy_(torch.index_select(
prev_conv.weight.detach(), 0, sort_idx))
for tensor_name in ['weight', 'bias', 'running_mean', 'running_var']:
tensor_to_apply = getattr(prev_bn, tensor_name)
tensor_to_apply.copy_(
torch.index_select(tensor_to_apply.detach(), 0, sort_idx)
)
# apply to the next conv input (hint: one line of code)
##################### YOUR CODE STARTS HERE #####################
next_conv.weight.copy_(torch.index_select(next_conv.weight.detach(), 1, sort_idx))
##################### YOUR CODE ENDS HERE #####################
return model
|
Now run the following cell to sanity check if the results are correct.
1
2
3
4
5
6
7
8
9
10
11
12
13
| print('Before sorting...')
dense_model_accuracy = evaluate(model, dataloader['test'])
print(f"dense model has accuracy={dense_model_accuracy:.2f}%")
print('After sorting...')
sorted_model = apply_channel_sorting(model)
sorted_model_accuracy = evaluate(sorted_model, dataloader['test'])
print(f"sorted model has accuracy={sorted_model_accuracy:.2f}%")
# make sure accuracy does not change after sorting, since it is
# equivalent transform
assert abs(sorted_model_accuracy - dense_model_accuracy) < 0.1
print('* Check passed.')
|
Before sorting...
eval: 0%| | 0/20 [00:00<?, ?it/s]
dense model has accuracy=92.95%
After sorting...
eval: 0%| | 0/20 [00:00<?, ?it/s]
sorted model has accuracy=92.95%
* Check passed.
Finally, we compare the pruned models’ accuracy with and without sorting.
1
2
3
4
5
6
7
8
9
10
11
12
13
| channel_pruning_ratio = 0.3 # pruned-out ratio
print(" * Without sorting...")
pruned_model = channel_prune(model, channel_pruning_ratio)
pruned_model_accuracy = evaluate(pruned_model, dataloader['test'])
print(f"pruned model has accuracy={pruned_model_accuracy:.2f}%")
print(" * With sorting...")
sorted_model = apply_channel_sorting(model)
pruned_model = channel_prune(sorted_model, channel_pruning_ratio)
pruned_model_accuracy = evaluate(pruned_model, dataloader['test'])
print(f"pruned model has accuracy={pruned_model_accuracy:.2f}%")
|
* Without sorting...
eval: 0%| | 0/20 [00:00<?, ?it/s]
pruned model has accuracy=28.14%
* With sorting...
eval: 0%| | 0/20 [00:00<?, ?it/s]
pruned model has accuracy=36.81%
As you can see, the channel sorting can slightly improve the pruned model’s accuracy, but there is still a huge degrade, which is quite common for channel pruning. But luckily, we can perform fine-tuning to recover the accuracy.
1
2
3
4
5
6
7
8
9
10
11
12
13
| num_finetune_epochs = 5
optimizer = torch.optim.SGD(pruned_model.parameters(), lr=0.01, momentum=0.9, weight_decay=1e-4)
scheduler = torch.optim.lr_scheduler.CosineAnnealingLR(optimizer, num_finetune_epochs)
criterion = nn.CrossEntropyLoss()
best_accuracy = 0
for epoch in range(num_finetune_epochs):
train(pruned_model, dataloader['train'], criterion, optimizer, scheduler)
accuracy = evaluate(pruned_model, dataloader['test'])
is_best = accuracy > best_accuracy
if is_best:
best_accuracy = accuracy
print(f'Epoch {epoch+1} Accuracy {accuracy:.2f}% / Best Accuracy: {best_accuracy:.2f}%')
|
train: 0%| | 0/98 [00:00<?, ?it/s]
eval: 0%| | 0/20 [00:00<?, ?it/s]
Epoch 1 Accuracy 91.65% / Best Accuracy: 91.65%
train: 0%| | 0/98 [00:00<?, ?it/s]
eval: 0%| | 0/20 [00:00<?, ?it/s]
Epoch 2 Accuracy 92.08% / Best Accuracy: 92.08%
train: 0%| | 0/98 [00:00<?, ?it/s]
eval: 0%| | 0/20 [00:00<?, ?it/s]
Epoch 3 Accuracy 92.01% / Best Accuracy: 92.08%
train: 0%| | 0/98 [00:00<?, ?it/s]
eval: 0%| | 0/20 [00:00<?, ?it/s]
Epoch 4 Accuracy 92.14% / Best Accuracy: 92.14%
train: 0%| | 0/98 [00:00<?, ?it/s]
eval: 0%| | 0/20 [00:00<?, ?it/s]
Epoch 5 Accuracy 92.10% / Best Accuracy: 92.14%
Measure acceleration from pruning
After fine-tuning, the model almost recovers the accuracy. You may have already learned that channel pruning is usually more difficult to recover accuracy compared to fine-grained pruning. However, it directly leads to a smaller model size and smaller computation without specialized model format. It can also run faster on GPUs. Now we compare the model size, computation, and latency of the pruned model.
1
2
3
4
5
6
7
8
9
10
11
12
13
14
15
16
17
18
19
20
21
22
23
24
25
26
27
28
29
30
31
32
33
34
35
36
37
38
39
40
41
42
43
44
45
46
47
48
49
50
51
| # helper functions to measure latency of a regular PyTorch models.
# Unlike fine-grained pruning, channel pruning
# can directly leads to model size reduction and speed up.
@torch.no_grad()
def measure_latency(model, dummy_input, n_warmup=20, n_test=100):
model.eval()
# warmup
for _ in range(n_warmup):
_ = model(dummy_input)
# real test
t1 = time.time()
for _ in range(n_test):
_ = model(dummy_input)
t2 = time.time()
return (t2 - t1) / n_test # average latency
table_template = "{:<15} {:<15} {:<15} {:<15}"
print (table_template.format('', 'Original','Pruned','Reduction Ratio'))
# 1. measure the latency of the original model and the pruned model on CPU
# which simulates inference on an edge device
dummy_input = torch.randn(1, 3, 32, 32).to('cpu')
pruned_model = pruned_model.to('cpu')
model = model.to('cpu')
pruned_latency = measure_latency(pruned_model, dummy_input)
original_latency = measure_latency(model, dummy_input)
print(table_template.format('Latency (ms)',
round(original_latency * 1000, 1),
round(pruned_latency * 1000, 1),
round(original_latency / pruned_latency, 1)))
# 2. measure the computation (MACs)
original_macs = get_model_macs(model, dummy_input)
pruned_macs = get_model_macs(pruned_model, dummy_input)
print(table_template.format('MACs (M)',
round(original_macs / 1e6),
round(pruned_macs / 1e6),
round(original_macs / pruned_macs, 1)))
# 3. measure the model size (params)
original_param = get_num_parameters(model)
pruned_param = get_num_parameters(pruned_model)
print(table_template.format('Param (M)',
round(original_param / 1e6, 2),
round(pruned_param / 1e6, 2),
round(original_param / pruned_param, 1)))
# put model back to cuda
pruned_model = pruned_model.to('cuda')
model = model.to('cuda')
|
Original Pruned Reduction Ratio
Latency (ms) 18.1 10.7 1.7
MACs (M) 606 305 2.0
Param (M) 9.23 5.01 1.8
Question 8 (10 pts)
Please answer the following questions using the information in the previous code cell.
Question 8.1 (5 pts)
Explain why removing 30% of channels roughly leads to 50% computation reduction.
My Answer:
Convolutional computation is approximately proportional to Cin * Cout * K * K * H * W. Channel pruning reduces both the previous layer’s Cout and the next layer’s Cin, so after removing 30% of channels, the related term becomes about 0.7 * 0.7 = 0.49, meaning computation is roughly halved.
Question 8.2 (5 pts)
Explain why the latency reduction ratio is slightly smaller than computation reduction.
My Answer: Latency is not determined only by MACs; it is also affected by memory access, cache hit rate, kernel launch overhead, hardware parallelism, and framework scheduling overhead. So real latency reduction is often smaller than the theoretical compute reduction.
Compare Fine-grained Pruning and Channel Pruning
Question 9 (10 pts)
After all experiments in this lab, you may have become familiar with both fine-grained pruning and channel pruning.
Please answer the following questions using what you have learned from the lectures and this lab.
Question 9.1 (5 pts)
What are the advantages and disadvantages of fine-grained pruning and channel pruning? You can discuss from the perspective of compression ratio, accuracy, latency, hardware support (i.e., requiring specialized hardware accelerator), etc.
My Answer: Fine-grained pruning often gives higher compression and better accuracy retention, but it produces unstructured sparsity that is hard to accelerate on general hardware. Channel pruning creates structured sparsity, which is easier to accelerate on CPU/GPU/mobile NPU, but at the same compression ratio it usually causes larger accuracy loss.
Question 9.2 (5 pts)
If you want to make your model run faster on a smartphone, which pruning method will you use? Why?
My Answer: Prefer channel pruning. Smartphone hardware and inference frameworks usually support “structurally narrower networks” better, which directly reduces tensor sizes and operator computation, leading to more stable and reproducible on-device latency gains.